根号下2的n次方加3的n次方加4的n次方趋近于无穷时的极限 夹逼定理求解
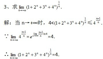
取括号内最大的加数,去掉其它三个变小,结果是4,所以原式大于4,使括号内四个加数都变成最大那个则得4的(n+1)次方,具体如图:

根号计算公式:
成立条件:a≥0,n≥2且n∈N。
成立条件:a≥0, n≥2且n∈N。
成立条件:a≥0,b>0,n≥2且n∈N。
成立条件:a≥0,b>0,n≥2且n∈N。

扩展资料:
夹逼定理应用:
1、设{Xn},{Zn}为收敛数列,且:当n趋于无穷大时,数列{Xn},{Zn}的极限均为:a.
若存在N,使得当n>N时,都有Xn≤Yn≤Zn,则数列{Yn}收敛,且极限为a。
2、夹逼准则适用于求解无法直接用极限运算法则求极限的函数极限,间接通过求得F(x)和G(x)的极限来确定f(x)的极限。
阅读量:41
阅读量:124
阅读量:130
阅读量:153
阅读量:87